Selecting a safety valve is not just about matching the pipe size. In fact, the valve’s inlet size should never be the primary selection factor. Sizing is the process of calculating the required Orifice Area—the smallest opening inside the valve—to ensure it can discharge enough media to prevent system overpressure.

Table of Contents
Toggle1. Professional PSV Sizing Support (The Human “Calculator”)
Searching for a reliable pressure relief valve sizing calculator excel or psv sizing software? While generic online tools provide quick estimates, critical safety applications demand engineering precision.
At TOT Valve, we provide a professional relief valve sizing program service. Instead of risking errors with manual spreadsheets, send us your process parameters, and our engineers will generate a certified API 520 sizing report for your project.
[Submit Your Parameters for a Sizing Calculation]
To get an accurate pressure relief valve calculation, please provide:
Media Type: (Steam, Natural Gas, Liquid, etc.)
Required Discharge Capacity (W/Q): (e.g., kg/hr, SCFM)
Set Pressure (P): (The pressure at which the valve opens)
Operating Temperature (T):
Backpressure (Pb): (Constant or Variable?)
2. API 520 Sizing Formulas: How the Calculation Works
For those performing sizing pressure relief valves manually, we follow the industry-standard API RP 520 formulas. The goal is to determine the Required Orifice Area (A).
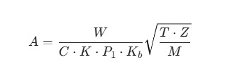
A. For Gas & Vapor Service (Critical Flow)
When calculating for natural gas ball valves or steam systems, we use the following formula to determine the orifice area:

A: Required Orifice Area (in² or mm²)
W: Required flow rate
P1: Upstream relieving pressure (Set Pressure + Overpressure + Atmospheric)
Kb: Backpressure correction factor (Critical for prv sizing)
B. For Liquid Service
For water or oil applications, the relief valve calculations depend on the pressure differential:

3. API 526 Orifice Size Chart (Reference Tool)
After completing your safety relief valve calculation, you must select a standard orifice size. Use this pressure relief valve size chart to match your calculated area ($A$) to the standard API Orifice Letter.
| Orifice Letter | Effective Area (in2) | Effective Area (mm2) | Typical Valve Size |
| D | 0.110 | 71 | 1″ x 2″ |
| E | 0.196 | 126 | 1″ x 2″ |
| F | 0.307 | 198 | 1.5″ x 2″ |
| G | 0.503 | 324 | 1.5″ x 3″ |
| H | 0.785 | 506 | 2″ x 3″ |
| J | 1.287 | 830 | 3″ x 4″ |
| L | 2.853 | 1841 | 4″ x 6″ |
4. Why Manual “Excel” Calculations Can Be Dangerous
Many engineers look for a pressure relief valve sizing calculator excel to save time. However, manual spreadsheets often fail to account for:
Viscosity Correction (Kv): Crucial for heavy crude or slurry.
Two-Phase Flow: When liquid flashes into gas.
Valve Chattering: Occurs when the valve is over-sized, leading to rapid seat destruction.
By using our professional psv sizing software and engineering expertise, we ensure your valve is “Right-Sized”—neither too small to be dangerous nor too large to be unstable.
5. Get Your Formal Sizing Report & Quote
Stop struggling with unverified relief valve sizing programs. Partner with a manufacturer that provides the data you need for a safe, compliant installation.
Complimentary Sizing Reports with every inquiry.
Full Compliance with ASME Section VIII and API 526.
Material Selection Support (WCB, CF8M, Duplex).









