Proportional Valve Sizing & Calculation: Balancing Flow, Pressure, and Resolution

In mobile and industrial hydraulic systems, proportional valves are the cornerstone of precision control for pressure and flow. However, selecting a valve simply based on its port size or maximum flow rating is a common engineering oversight.

Proportional Valve Sizing & Calculation
Proportional Valve Sizing & Calculation

To achieve high-performance control, one must look beyond the datasheet and analyze the dynamic relationship between pressure differential and flow capacity.


1. Defining the Terms: Pressure Drop vs. Differential

In hydraulic discussions, the terms “Pressure Drop” and “Pressure Differential” are often used interchangeably to describe the difference in pressure between two points. In this technical analysis, we will use Pressure Differential (Δp).

Most industrial proportional valves are rated for flow at a specific differential, typically 5 bar per metering edge, or a total valve Δp of 10 bar. The actual available differential in a system is calculated as:

Δpv = ps – pl – pt

Where:

  • ps: System Pressure

  • pl: Load Pressure

  • pt: Return Line Backpressure


2. The Square Root Law of Flow

Flow through a proportional valve (which acts like a sharp-edged orifice) follows a square-root relationship with the pressure differential.

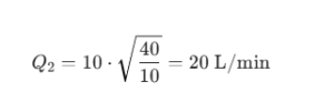
Finding Actual Flow (Q2)

If you know the rated flow (Q1) at a rated differential (Δp1), you can calculate the actual flow (Q2) at your system’s actual differential (Δp2):

calculate the actual flow
calculate the actual flow

Example: A valve rated for 10 L/min at 10 bar. If your actual system Δp is 40 bar, the actual flow will be:

 

calculate the actual flow (2)
calculate the actual flow (2)

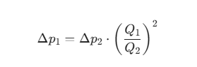
Finding Required Differential (Δp1)

Conversely, the pressure differential is proportional to the square of the flow:

the pressure differential is proportional to the square of the flow
the pressure differential is proportional to the square of the flow

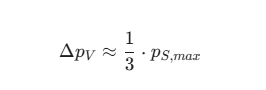
3. The Power Limit & Efficiency Threshold

While increasing Δp  increases the power delivered to the actuator, there is a point of diminishing returns. Beyond a certain threshold, the power lost as heat across the valve exceeds the gain in flow power.

Engineering Rule of Thumb: The critical efficiency point occurs when the valve pressure drop is approximately 1/3 of the maximum system pressure.

Engineering Rule of Thumb
Engineering Rule of Thumb

4. The Pitfall of “Oversizing” for Energy Savings

It is tempting to choose a large valve to minimize pressure drop and “save energy.” However, oversizing often leads to poor control resolution.

Case Study: 200 L/min Requirement

  • System Data: Max pressure 150 bar; Load + Backpressure 100 bar; Available $\Delta p = 50 \text{ bar}$.

  • The Oversized Choice: A valve rated at 220 L/min at 10 bar. At 50 bar, this valve would hit 200 L/min at only ~30% stroke. You lose 70% of your control resolution.

  • The Precision Choice: A valve rated at 100 L/min at 10 bar. At 50 bar, this valve reaches 200 L/min at ~95% stroke.

Result: The smaller valve utilizes the full range of the electronic command signal, providing the highest possible resolution and precision.


5. Performance vs. Energy Efficiency

Energy loss in the form of heat is inevitable when oil flows from high to low pressure without doing work.

  • Smaller Valves: Higher precision, faster response (lower spool mass), but lower energy efficiency.

  • Larger Valves: Lower pressure drop, but slower response and poor control resolution.

For high-performance hydraulic systems, the “price” of precision is often a calculated pressure drop across a correctly sized proportional valve.


6. Conclusion: Precision Starts with Sizing

Correctly selecting an industrial electro-hydraulic proportional valve is a multi-step process. To maximize system performance:

  1. Calculate actual available Δp.

  2. Determine flow requirements.

  3. Select a valve that satisfies flow at 80-90% of total spool travel.

Let TOT Valve Support Your Business